近日,河南科技学院南瓜种质资源创新团队,完成了中国南瓜抗白粉病相关基因的功能验证,于2019年7月10号,在Frontiers in Plant Science在线接收题为“Improved powdery mildew resistance of transgenic tobacco overexpressing theCucurbita moschataCmSGT1 gene”的研究论文。该研究将为南瓜抗病育种提供有价值的基因资源。
论文解读:
南瓜属主要栽培种有中国南瓜(Cucurbita moschataDuch.)、印度南瓜(Cucurbita maximaDuch.)和美洲南瓜(Cucurbita pepoL.)。2017年仅在中国,南瓜、笋瓜和西葫芦产量8,051,495t(约占世界产量的22.68%),栽培面积438,466 ha(占世界面积的17.42%)。白粉病是危害南瓜的重要真菌病害,主要由单囊壳属白粉菌(Podosphaera xanthii)引起,发病率高,发病面积大。药剂防治效果不佳,极易造成叶片早衰减产;而且长期使用化学杀菌剂易使病原菌产生抗药性,同时给食用带来安全隐患,又加剧环境污染。抗病品种匮乏,因此,研究南瓜抗白粉病机制,挖掘抗病基因进行抗性品种培育是从根本上防治白粉病的有效途径。
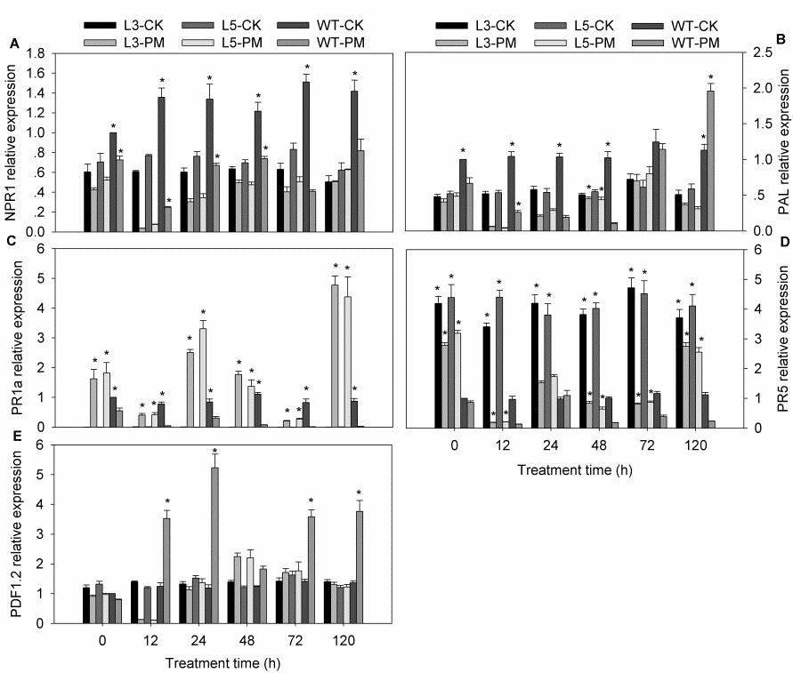
本课题组在前期研究中利用高抗白粉病的中国南瓜自交系材料接种白粉菌后进行转录组测序,筛选出高抗寄主特异表达的4716个DEGs(differentially expressed genes),其中unigene(c8328_g1)与SGT1(Suppressor of G-Two Allele of Skp1)蛋白高度同源,克隆其全长(命名为CmSGT1)。与野生型本氏烟草相比,CmSGT1超表达烟草减轻了白粉属白粉菌的发病症状,病情指数比对照显著降低78%,通过调节侵染点的H2O2积累和细胞坏死,及SA防御反应标记基因上调表达有效增强对烟草白粉病的抗性。
表1烟草接种白粉菌后的病情指数统计
材料 |
病情指数 |
L3 L5 |
7.90 ± 1.23 8.60 ± 1.31 |
L11 WT |
9.00± 1.01 38.80± 2.41* |

图1 白粉菌处理下烟草叶片台盼蓝、DAB染色

图2 烟草接种白粉菌信号转导基因的表达(烟草EF-1α作为内参)
据悉,论文的第一作者是河南科技学院郭卫丽讲师,通讯作者是李新峥教授。本项目得到了国家自然科学基金计划资助。
郭卫丽简介

郭卫丽,讲师,专硕导师。主要从事蔬菜育种与生物技术应用。南瓜种质资源创新与利用,南瓜白粉病抗性遗传育种。主持国家自然科学基金青年基金1项,参与省部级科技进步奖1项,发表学术论文10余篇,参编《茄子实用栽培技术》等学术著作3部。